
海南公积金贷款对照表
1.商业贷款利率参照主要银行目前执行的购买首套房、首次贷款利率,按照5年期(含)以下5.00%,5年期以上5.39%计算。
2.公积金贷款按照购买首套房、首次贷款利率,5年期(含)以下2.75%,5年期以上3.25%计算。
3.公积金贷款与商业贷款利息及利息差按照以元为单位测算,后四舍五入为万元,部分数据存在0.01万元误差,可点击具体数据参看精确数据。
地方特产2022-04-12 00:05:25未知

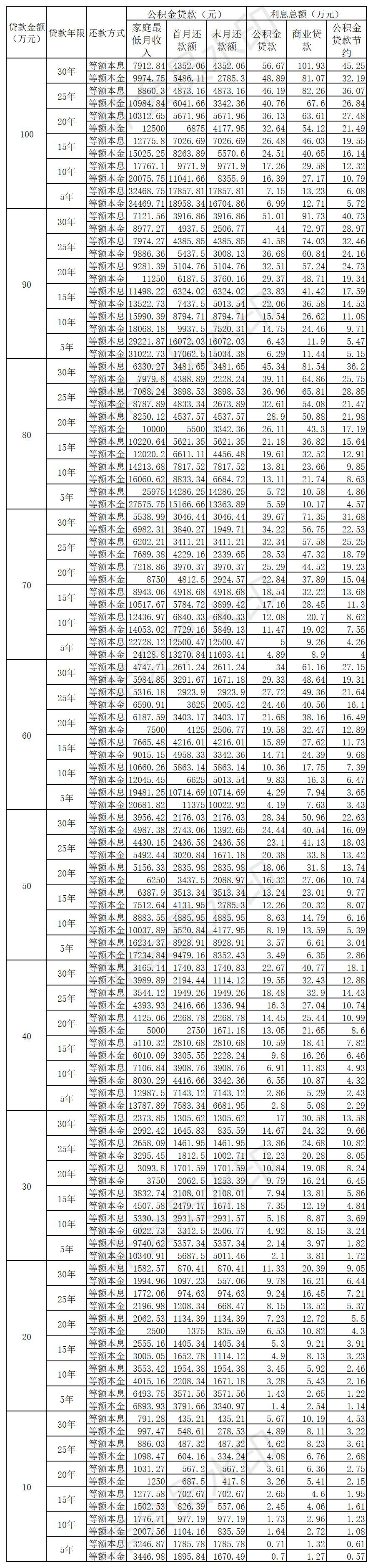
海南公积金贷款对照表
1.商业贷款利率参照主要银行目前执行的购买首套房、首次贷款利率,按照5年期(含)以下5.00%,5年期以上5.39%计算。
2.公积金贷款按照购买首套房、首次贷款利率,5年期(含)以下2.75%,5年期以上3.25%计算。
3.公积金贷款与商业贷款利息及利息差按照以元为单位测算,后四舍五入为万元,部分数据存在0.01万元误差,可点击具体数据参看精确数据。
榆林技能补贴申请指南