
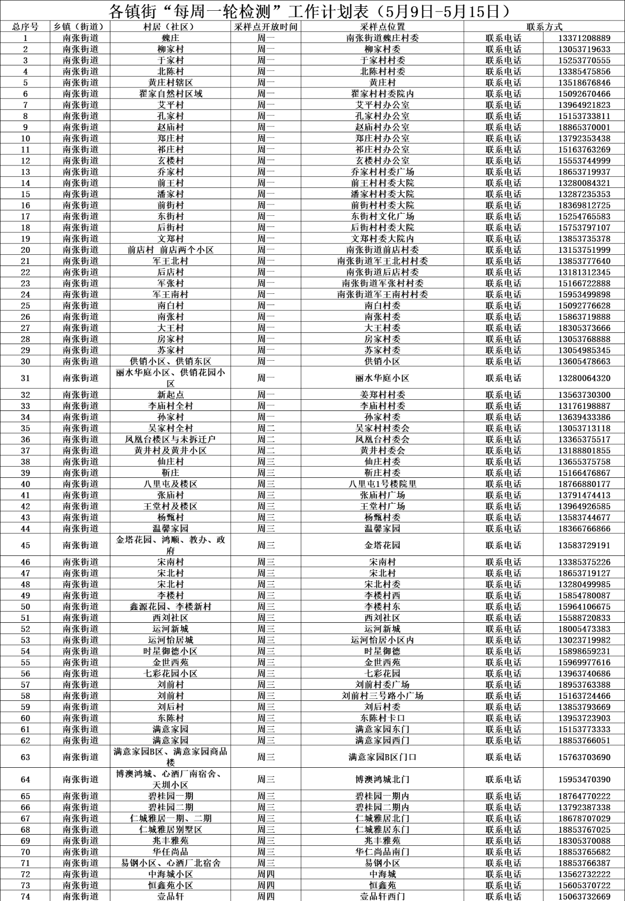
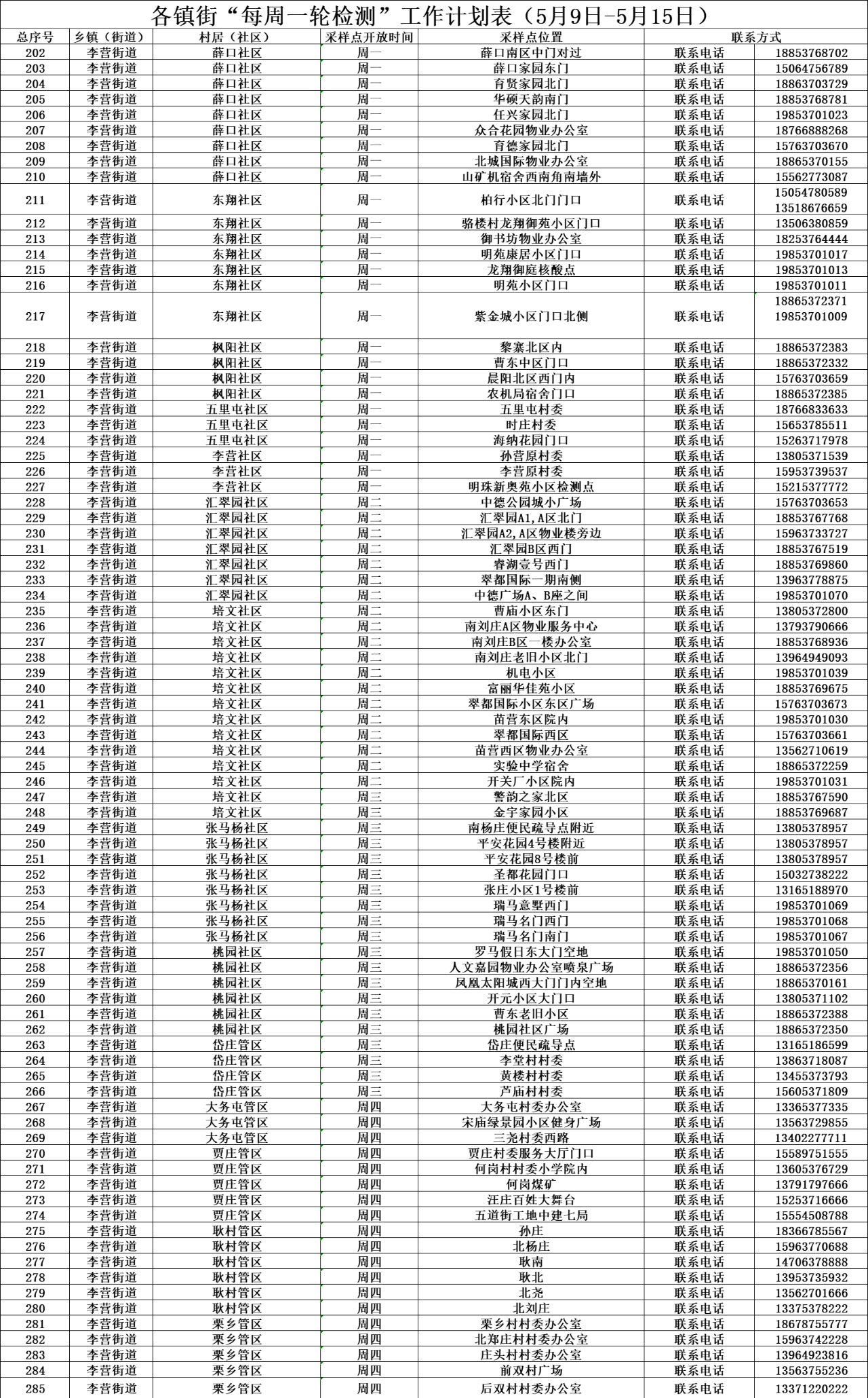
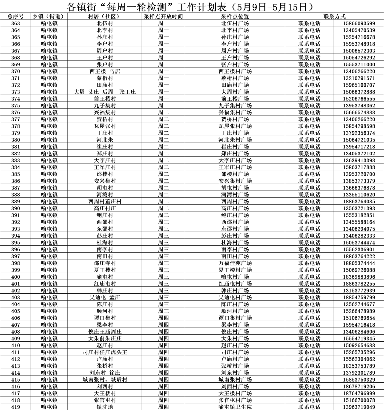
任城区各镇街“每周一轮检测”工作计划表(5月9日-5月15日)
为适应常态化区域核酸检测工作,任城区除目前常设、固定开放的“愿检尽检”核酸采样点照常开放外,其他采样点轮流定期开放。广大居民朋友们可根据各采样点开放时间就近进行核酸采样。现将任城区各镇街“每周一轮检测”工作计划表(5月9日-5月15日)公布如下:


地方特产2022-10-24 22:19:45未知

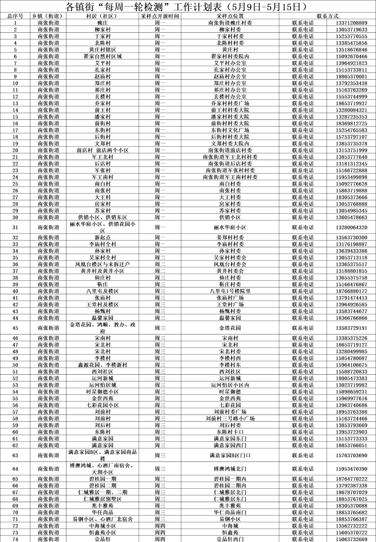
任城区各镇街“每周一轮检测”工作计划表(5月9日-5月15日)
为适应常态化区域核酸检测工作,任城区除目前常设、固定开放的“愿检尽检”核酸采样点照常开放外,其他采样点轮流定期开放。广大居民朋友们可根据各采样点开放时间就近进行核酸采样。现将任城区各镇街“每周一轮检测”工作计划表(5月9日-5月15日)公布如下:

