
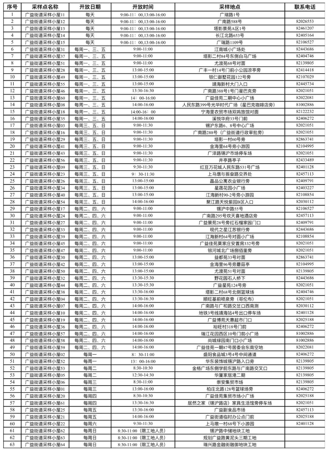
为方便广大居民快捷地进行核酸检测采样,现将广益街道核酸采样小屋6月20日(周一)起开放时间公布如下:
温馨提示
1、广益街道核酸采样小屋对愿检尽检对象开始收费,收费标准为混检4元/人次。
2、核酸采样小屋按照开放时间运行,准时关闭,请合理安排时间,并遵守现场停车秩序。
3、核酸采样小屋开放时间会根据疫情防控要求随时调整,请大家及时关注“灵锡”app查看采样小屋具体开放时间。
采样步骤
1、市民有序排队,等待核酸检测,务必提前准备好“门铃码”,并按照指示扫码
2、完成信息登记后,从传递窗取走自己的采样试管及采样咽拭子,到采样口进行核酸采样
3、采样完成后,市民须戴好口罩,从出口方向有序离开





