
为方便济南市民进行全天候核酸检测,有效掌握健康状况,济南市卫生健康委公布济南24小时核酸检测机构和采样点详细信息。请有需要的市民,及时主动就近选择检测点进行核酸检测,并做好自我健康监测。
24小时检测机构

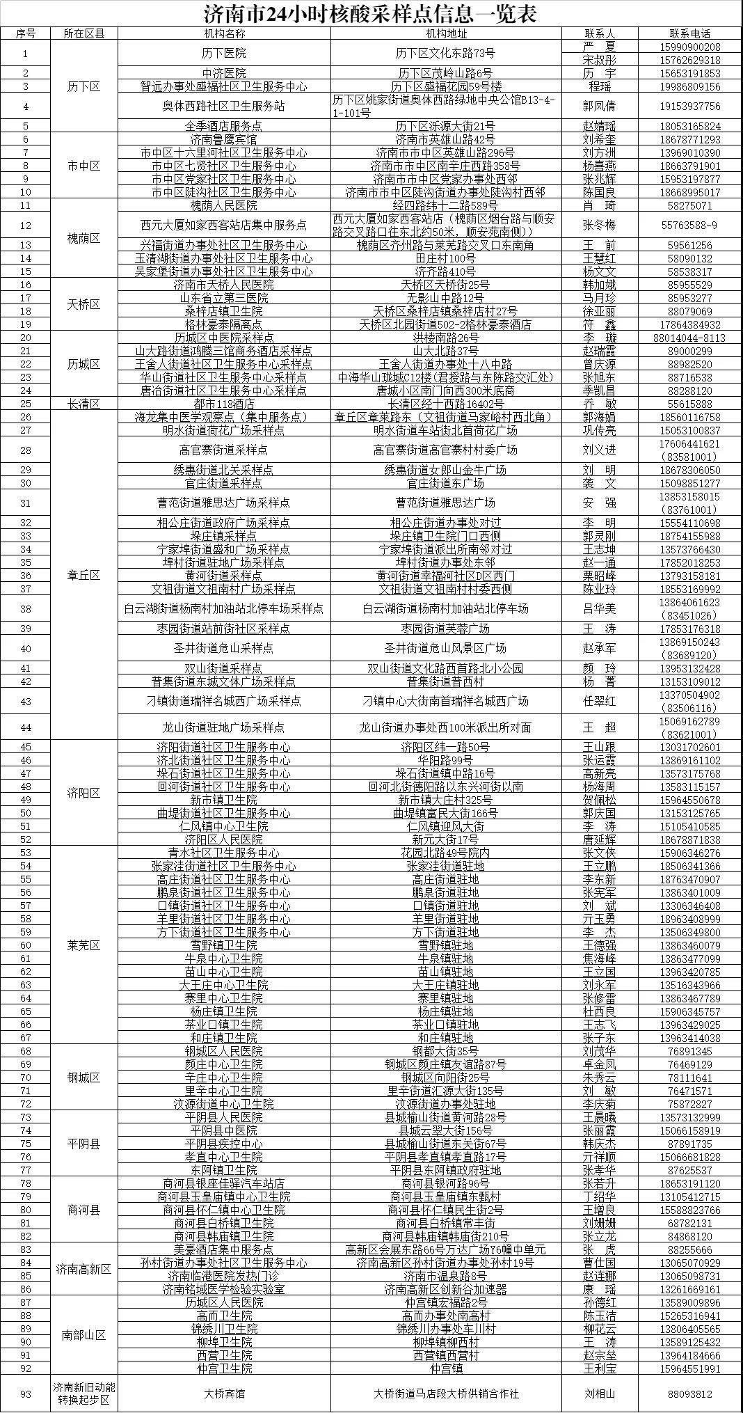
24小时采样点

核酸检测价格
一、全省各级公立医疗机构新型冠状病毒核酸检测单人单检价格为检测费和医疗机构实际采购核酸检测试剂价格之和,最高不得超过40元/次。检测费的最高价格下调为30元/次,项目内涵和除外内容不变;核酸检测试剂按医疗机构实际采购价格,继续执行零差率政策。医保支付标准相应调整。
二、根据疫情需要,按照卫生健康部门技术要求和标准进行混合核酸检测的,5个样本混检检测和10个样本混检检测价格均为每人次10元,不得另外收取检测试剂等其他费用。





