
当前,接种新冠疫苗是预防新冠肺炎最经济、有效的手段,请符合新冠疫苗接种条件的民众积极接种疫苗。现对洛阳市新冠疫苗预防接种单位信息进行公示。
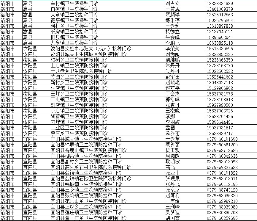
洛阳市新冠病毒疫苗预防接种单位名单 (截止2022年1月31日)
为提高新冠病毒疫苗接种工作效率,减少受种人群在接种点候诊等待时间,请准备接种疫苗的居民可提前进行新冠疫苗接种预建档。
2022年春节假期期间,洛阳市各核酸检测采样点和新冠疫苗接种点正常提供服务。有核酸检测和接种新冠疫苗意愿的来(返)洛人员,可拨打相关机构电话提前咨询。
目前接种新冠疫苗仍是预防新冠肺炎最有效的手段,3—11岁人群和 60 岁及以上老年人等重点人群要积极配合新冠疫苗接种。
如果您接种新冠疫苗已满6个月,请及时接种新冠疫苗“加强针”,按时全程接种疫苗守护自己的身体健康。





