
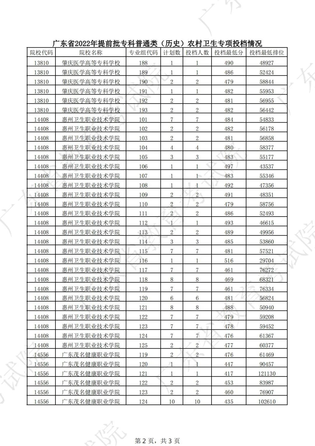
广东省今年提前批专科已完成投档,投档情况如下。
广东省2022年普通高考专科批次普通类录取日程安排
模拟投档:8月1日至2日
正式投档:8月3日
院校录取:8月4日
录取结果:8月4日起陆续公布
广东省教育考试院每天17:00前将截至当天11:30已经录取的考生,通过广东省教育考试院官方微信(ID:gdsksy)小程序、手机短信、百度小程序和粤省事小程序公布。
各院校招生规模不同,录取进度不一,请广大考生耐心等待录取结果。
更多招考资讯,请关注广东省教育考试院或广东省教育考试服务中心公众号。





