
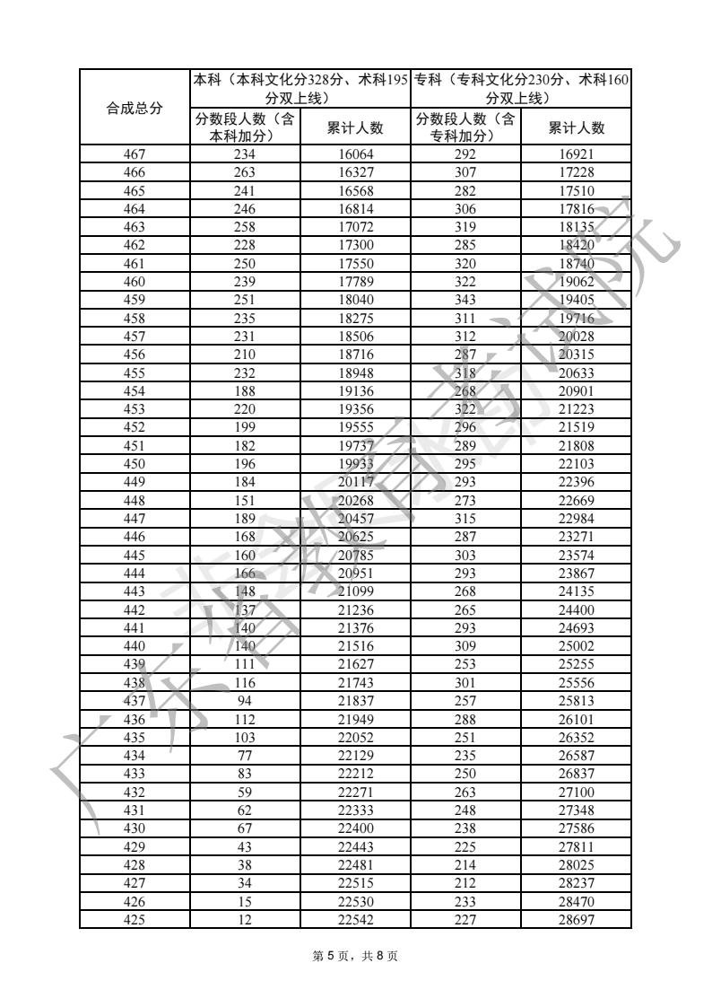
点击下载:广东省2022年普通高考美术类总分分数段统计表(含本、专科层次加分) 






什么情况会导致退档?
1.因不服从专业调剂退档
高校录取原则一般是根据考生专业志愿顺序,按总分从高到低进行录取。每年考生填报志愿都会出现志愿“扎堆”现象,即有些专业报考考生多,有些专业报考考生较少,需录取调剂志愿考生。因此,当考生所填报的专业落选,又没有填报“服从调剂”时,学校按招生章程规定,只能退档。
2.因体检不合格或报考专业受限退档
《普通高等学校招生体检工作指导意见》明确规定考生招生体检是报考高校的基本程序之一,同时,对不予录取和不宜就读专业的疾病和体征做了指导性说明,考生如果体检不合格或者填报了自己身体受限的专业就会被退档。考生要通过招生体检了解自己的身体条件,结合专业志向和爱好,依据《普通高等学校招生体检工作指导意见》,扬长避短地选择高校和专业,避免报考自己身体条件不宜就读和不予录取专业,导致退档。
3.因招生专业计划录取满额退档
高校招生是按计划录取的,经过挑选后,剩下的超额部分会予以退档,这种退档也往往以退分数较低考生,或退后继志愿考生为原则。省招生办公室第一次批量投档是按所报院校专业组的考生成绩总分从高分到低分投档(平行志愿投档均为一次性投档)。因此,院校在进行专业组内的专业分档时,热门专业很快分满,而分数较低且又没有填“服从调剂”的考生往往会被高校以计划已满等理由退档。
4.因综合素质评价有不良记录退档
高校录取时,将参阅考生综合素质评价内容,将其作为录取参考,并提前向社会公布。如考生有过违法行为,或考试有违纪作弊行为的记录,或体能素质不合格的,将有可能成为高校退档理由。
所以考生要认真做好填报志愿的准备工作,仔细阅读拟报考高校的招生章程和我省招生专业目录,了解有关招生政策和要求。根据自己的成绩、志向、体检结论等,结合招生院校近年来各专业招生录取最低分及排位情况,慎重报考。在这里特别要强调,考生填报志愿时务必仔细阅读相关院校的招生章程规定。因未认真阅读院校招生章程,填报了不符合报考条件的志愿,导致不能被录取的责任由考生自负。





