
语数外和首选科目是原始分,再选科目是等级赋分后的。
高考成绩公布时,考生查询到的再选科目成绩是等级赋分后的成绩,不需要考生自行转换。
思想政治、地理、化学、生物学4门科目每科原始成绩为100分,转换后赋分成绩满分为100分,赋分起点为30分。转换时将各科目考生原始成绩从高到低划分为A、B、C、D、E共5个等级,各等级人数所占比例分别约为15%、35%、35%、13%和2%。各科目成绩计入考生总成绩时,将A至E等级内的考生原始成绩,按照事先确定的比例,依照转换公式,分别转换到100~86、85~71、70~56、55~41、40~30五个分数区间(表1),得到考生的赋分成绩。转换基数为实际参加该科目选择考的人数(不含缺考及因违纪作弊已被取消该科成绩的人数)。
表1:具体等级比例和赋分区间
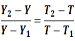
等级转换的具体公式:
其中:
Y1、Y2分别表示原始分区间的下限和上限;
T1、T2分别表示转换分区间的下限和上限;
Y表示原始分;
T表示转换分。
考虑到高考分数都以整数呈现,故上述公式的计算结果需要进行“四舍五入”处理。
举例说明,假设某同学思想政治学科原始分为75分,该学科B等级的原始分分布区间为82~61,则该同学思想政治学科的原始成绩属B等级。而B等级的转换分区间为85~71,那么该同学思想政治学科的转换分为:
解得, T≈80.33;
四舍五入后该同学思想政治学科赋分成绩为80(图2)。
图2:转换示意图
等级赋分一是能够较好解决思想政治、地理、化学、生物学4门科目之间分数不等值、学生选考科目分数不能直接相加参加高校招生录取的问题;二是等级区间比例依据我省往届考生的实际状况划定,符合实际情况;三是能够保持考生每门学科成绩排名顺序不变,确保成绩转换的公平公正;四是能够最大限度保证考生的成绩具有良好的区分度,满足高校人才选拔需要。





