十进制如何转二进制 十进制如何转二进制补码

综合百科2023-03-12 17:38:04佚名

十进制如何转二进制 十进制如何转二进制补码

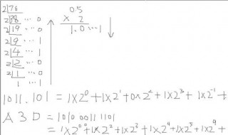
1、十进制转二进制,我们采用短除法,比如要将十进制的29转成二进制,用29除以2,商写在下面,余数写在商的右边。

2、继续往下除,同样的商写在下面,余数写在商的右边。

3、当除到商为0的时候,就不用往下除了。

4、这个时候将余数从下到商排列出来,得到的数就是二进制的。

5、二进制转十进制采用权相加法,比如1011010转成十进制,需要说明下,2的几次方哪个次数是怎么确定的,比如从左数的第一位1,在它的前面还有六位,那么它的次数就是为6。

本文标签: 十进制如何转二进制  

相关推荐

猜你喜欢

大家正在看