
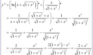
1、二阶导数,是原函数导数的导数,将原函数进行二次求导。一般的,函数y=f(x)的导数yˊ=fˊ(x)仍然是x的函数,则y′′=f′′(x)的导数叫做函数y=f(x)的二阶导数。
2、简单说,求导之后再求一次导就是2阶导数了.假如y=f(x),则一阶导数y’=dy/dx=df(x)/dx则二阶导数y“=dy‘/dx=[d(dy/dx)]/dx=d2y/dx2=d2f(x)/dx2
综合百科2022-04-04 01:54:05未知

1、二阶导数,是原函数导数的导数,将原函数进行二次求导。一般的,函数y=f(x)的导数yˊ=fˊ(x)仍然是x的函数,则y′′=f′′(x)的导数叫做函数y=f(x)的二阶导数。
2、简单说,求导之后再求一次导就是2阶导数了.假如y=f(x),则一阶导数y’=dy/dx=df(x)/dx则二阶导数y“=dy‘/dx=[d(dy/dx)]/dx=d2y/dx2=d2f(x)/dx2
黄翅鱼做法 你都学会了吗