
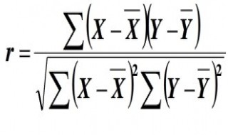
1、利用协方差公式,将相关系数表达式展开,其中的多项式抵消之后即可得到化简。
2、协方差cov(XY)=E[XY]-E[X]*E[Y]。
3、相关关系是一种非确定性的关系,相关系数是研究变量之间线性相关程度的量。由于研究对象的不同,相关系数有如下几种定义方式。
4、简单相关系数:又叫相关系数或线性相关系数,一般用字母r 表示,用来度量两个变量间的线性关系。
综合百科2023-01-15 21:45:12佚名

1、利用协方差公式,将相关系数表达式展开,其中的多项式抵消之后即可得到化简。
2、协方差cov(XY)=E[XY]-E[X]*E[Y]。
3、相关关系是一种非确定性的关系,相关系数是研究变量之间线性相关程度的量。由于研究对象的不同,相关系数有如下几种定义方式。
4、简单相关系数:又叫相关系数或线性相关系数,一般用字母r 表示,用来度量两个变量间的线性关系。