
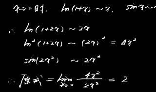
1、式子有2个函数是等价无穷小
2、乘除中部分加减法中也能代换,有条件的,条件:代换后的加减法中,前一个被代换后的数除后一个被代换后数不等于±1。
3、被代换的量,在去极限的时候极限值为0。
4、被代换的量,作为被乘或者被除的元素时可以用等价无穷小代换,但是作为加减的元素时就不可以。
综合百科2022-04-06 06:58:46佚名

1、式子有2个函数是等价无穷小
2、乘除中部分加减法中也能代换,有条件的,条件:代换后的加减法中,前一个被代换后的数除后一个被代换后数不等于±1。
3、被代换的量,在去极限的时候极限值为0。
4、被代换的量,作为被乘或者被除的元素时可以用等价无穷小代换,但是作为加减的元素时就不可以。
冬天加了防冻液还需要放水吗 怎么样好
普通银行卡背面有没有三位安全码 怎么看