
冬奥纪念钞四川网上预约兑换时间表
(一)预约期
冬奥钞预约全部采取线上方式。线上预约通过工行/农行线上渠道办理。
线上预约期:2022年2月11日22:30时至2月13日24时
(二)预约核实期
冬奥钞预约核实期:2022年2月16日至2月17日网点对外营业时间。
预约期结束后,人民银行将对冬奥币、冬奥钞全部预约登记记录进行核查。客户可在2月16日0点后通过我行线上预约渠道查询核查结果,我行还将通过预留手机号码短信通知,请确保手机号码录入正确并保持手机通讯畅通。通过核查的客户预约成功,可正常兑换。本次在两家以上承办银行重复预约冬奥币、冬奥钞的客户,以及此前普通纪念币(钞)发行时有重复预约记录的客户无法通过核查,未通过核查的客户需在核实期内前往我行任意承办预约兑换的网点办理撤销重复预约记录及保留兑换资格业务方可办理兑换。
(三)兑换期
冬奥钞兑换期:2022年2月18日至2月24日网点对外营业时间。
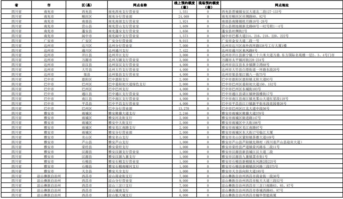
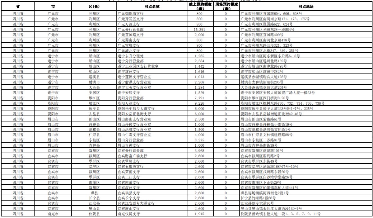
四川地区冬奥钞预约网点信息






