
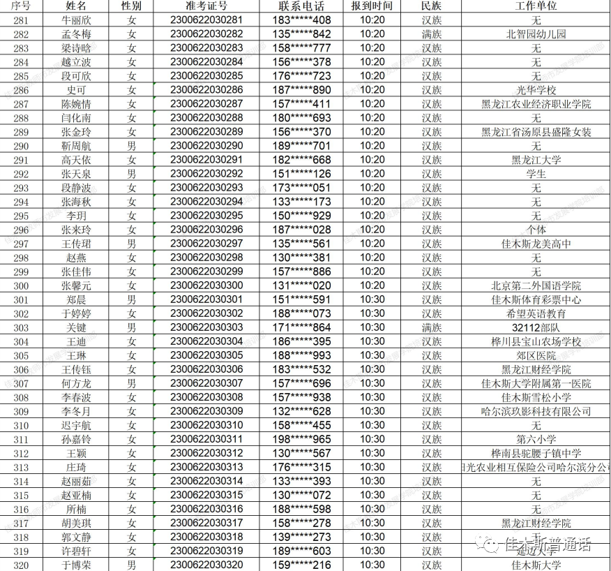
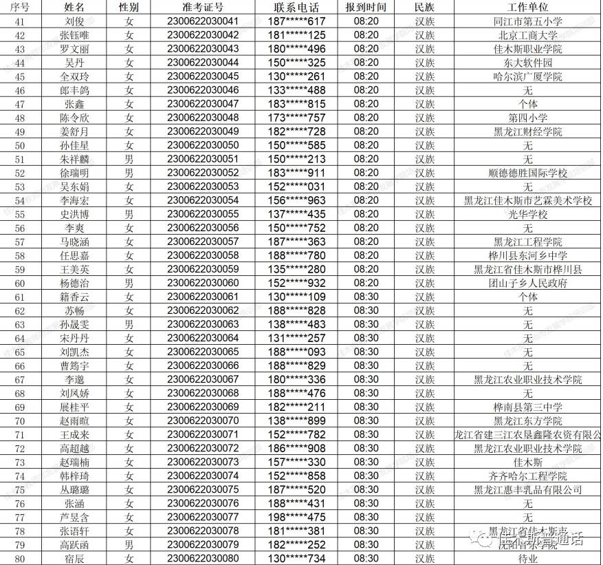
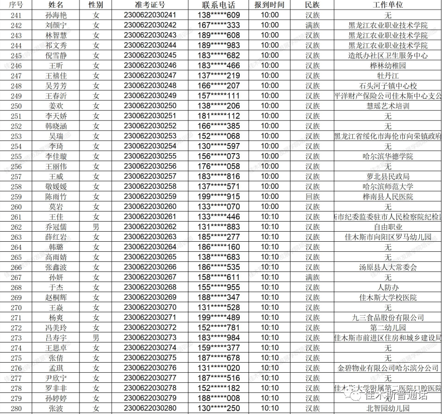
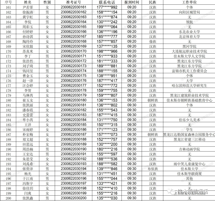
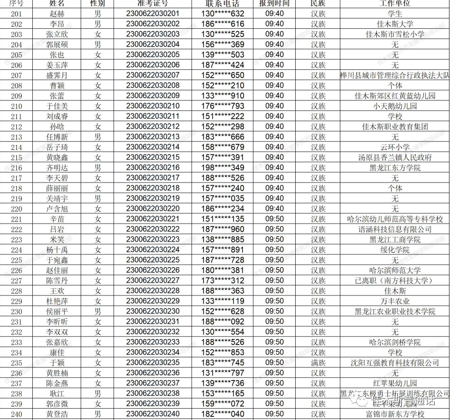
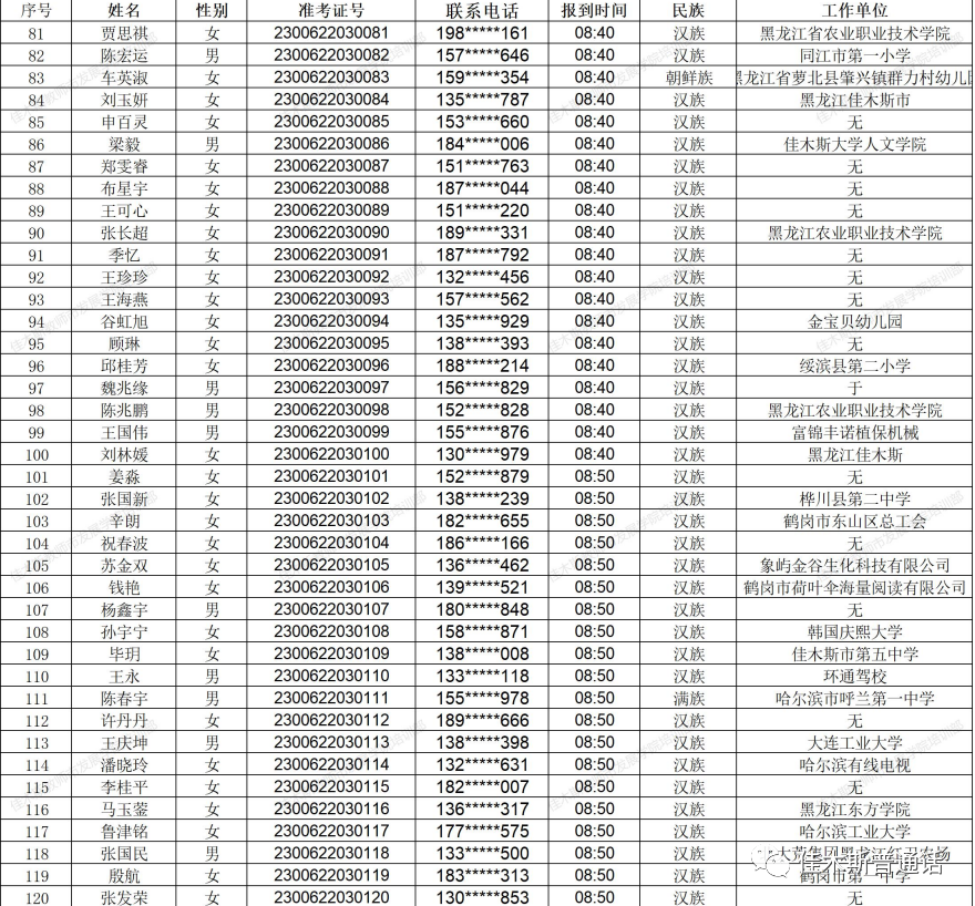
1. 2022年6月25日参加测试考生的名单,以图片形式公布在文后,具体时间详见图片。请考生将图片下载保存后认真查看。
2. 请考生认真阅读“防疫与测试须知”、“测试流程”,以保证测试顺利进行。
3. 现场采集考生指纹、拍照,所拍摄照片用在证书上,照片背景为浅蓝色,建议考生着正装并尽量避免与背景同色。
4. 要求考生全程佩带口罩,带口罩不影响测试效果。
5. 测试地点:佳木斯市教师发展学院(杏林路538号,第十一中斜对面高层)
一、防疫与测试须知
1. 考生需携带身份证原件、纸质《考生个人健康情况承诺书》、纸质“48小时内核酸检测报告”,扫“龙江健康码”后查验“通信大数据行程卡”参加考试。
2. 考生进入考点,应全程佩戴口罩并自觉接受体温检测,如体温超过37.2℃,应服从现场工作人员管理及疫情防控安排。候考期间不得随意走动,应尽量与他人保持1米以上距离,避免近距离接触和交谈。
3. 考生在考试期间出现发热、干咳、乏力、鼻塞、流涕、咽痛、嗅觉味觉减退、结膜炎、肌痛和腹泻等不适症状,应立即向考点工作人员报告,听从工作人员的安排。
4. 考生应自觉配合考点做好身体健康检测,对提供的“龙江健康码”、“通信大数据行程卡”、“个人健康情况承诺书”和48小时核酸检测阴性报告等证明材料的真实性负责,并承担因不实行为带来的相关责任。
5. 凡隐瞒或谎报旅居史、接触史、健康状况等疫情防控重点信息,以及在考试疫情防控中拒不配合工作人员进行防疫检测、询问、排查、送诊等造成严重后果的,按照疫情防控有关法律法规追究责任。
二、测试流程:
教师发展学院一楼大厅扫防疫码、上交48小时核酸检测阴性报告及“个人健康情况承诺书”→ 507室候考→ 416室采集指纹、拍照→417室测试
三、6月25日测试考生名单





