转置矩阵怎么求(复共轭转置矩阵怎么求)

教育百科2022-09-19 06:22:00未知

转置矩阵怎么求(复共轭转置矩阵怎么求)

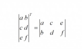
1、设A为m×n阶矩阵(即m行n列),第i 行j 列的元素是a(i,j),即:A=a(i,j)。

2、A的转置为这样一个n×m阶矩阵B,满足B=b(j,i),即 a(i,j)=b (j,i)(B的第i行第j列元素是A的第j行第i列元素),记A'=B。

3、直观来看,将A的所有元素绕着一条从第1行第1列元素出发的右下方45度的射线作镜面反转,即得到A的转置。

本文标签: 转置矩阵怎么求  

相关推荐

猜你喜欢

大家正在看