
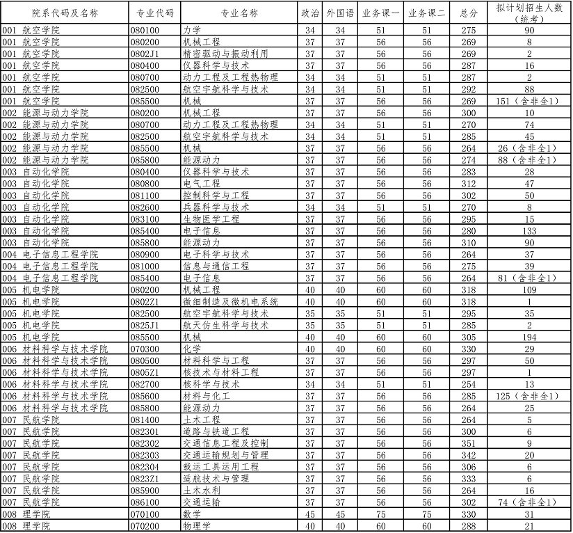
南京航空航天大学2020年研究生复试分数线如下:
2020年南京航空航天大学计划招收人数如下:
1.全日制学术型硕士研究生约1500名;
2.招收全日制专业学位研究生约1000名;
3.非全日制硕士研究生约700名。
招收人数中含推荐免试生(拟接收人数不超过全校全日制硕士研究生招生人数的50%)、单考生、少数民族骨干计划、退役大学生士兵专项计划等。
教育百科2022-07-22 11:53:42未知

南京航空航天大学2020年研究生复试分数线如下:
2020年南京航空航天大学计划招收人数如下:
1.全日制学术型硕士研究生约1500名;
2.招收全日制专业学位研究生约1000名;
3.非全日制硕士研究生约700名。
招收人数中含推荐免试生(拟接收人数不超过全校全日制硕士研究生招生人数的50%)、单考生、少数民族骨干计划、退役大学生士兵专项计划等。