
18日,本科院校普通文理类高分优先投档线上考生录取结束,共录取88487人,其中文科录取17082人,理科录取71405人,退档396人,退档人数较去年进一步减少,退档率为0.4%,比去年低0.1个百分点,退档原因主要是不服从专业调剂所致。
根据招生录取日程安排,本科批次院校录取将于21日结束,随后省招生办将对尚未完成招生计划的高校进行征集志愿录取。
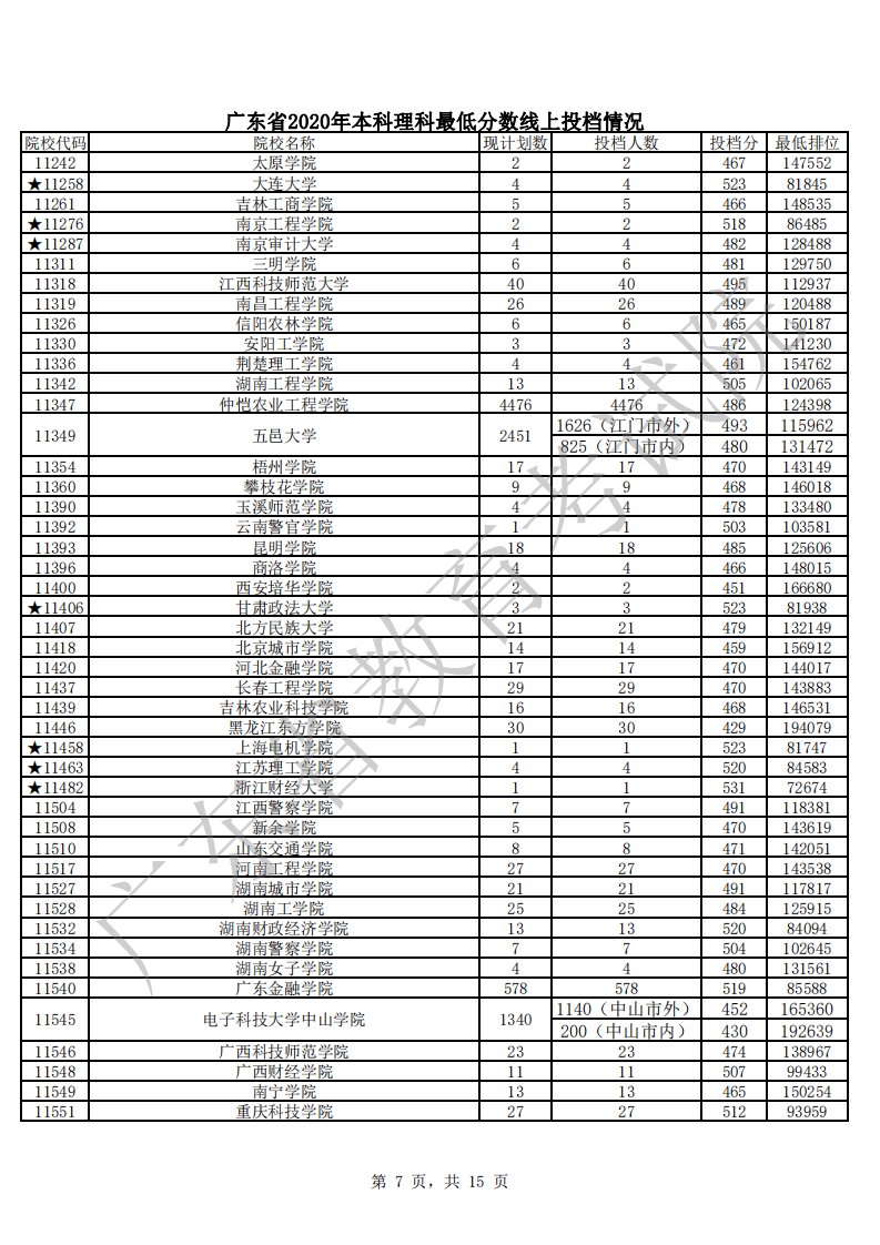
广东省2020年本科理科最低分数线上投档情况














教育百科2022-07-02 03:46:38未知

18日,本科院校普通文理类高分优先投档线上考生录取结束,共录取88487人,其中文科录取17082人,理科录取71405人,退档396人,退档人数较去年进一步减少,退档率为0.4%,比去年低0.1个百分点,退档原因主要是不服从专业调剂所致。
根据招生录取日程安排,本科批次院校录取将于21日结束,随后省招生办将对尚未完成招生计划的高校进行征集志愿录取。
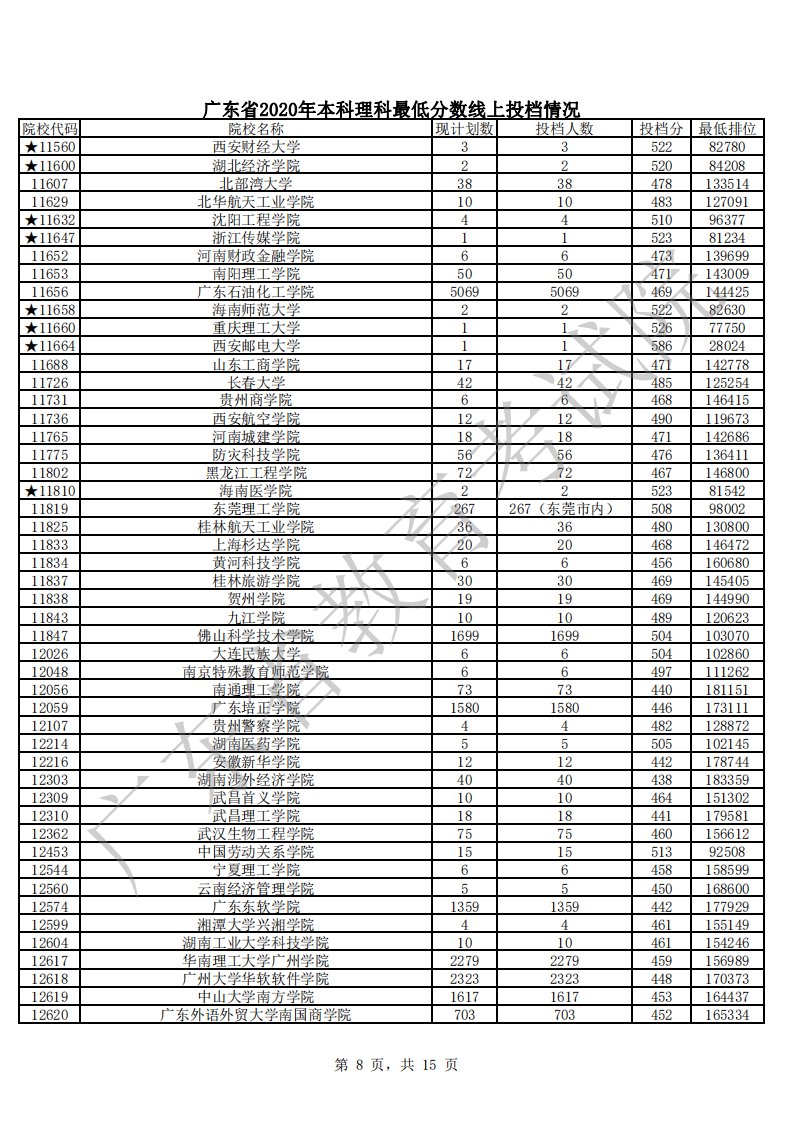
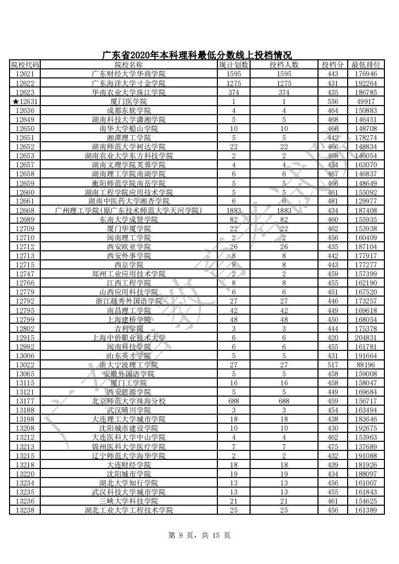
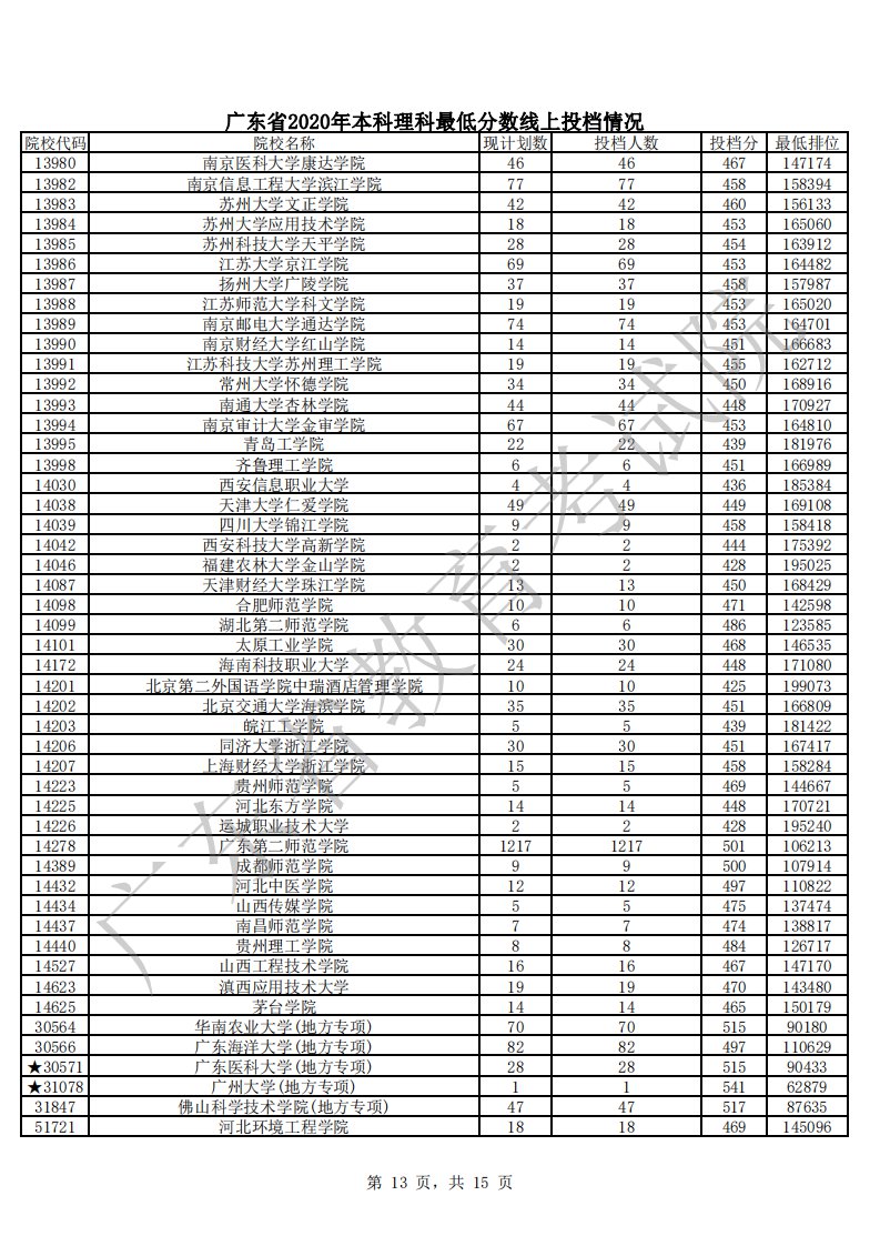
广东省2020年本科理科最低分数线上投档情况













