化学分子式怎么写 化学分子式书写规则

教育百科2022-05-04 03:21:46未知

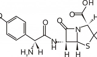
化学分子式怎么写 化学分子式书写规则

1、先数碳的个数,一个点就是一个碳,不具体标出,所以一共15个C,多一个C就多两个H。

2、再数N的个数2个N,一个N就是一个H。

3、氧的个数1个O,O不加H的个数。

4、数不饱和度,双键算一个不饱和度,一个环算一个不饱和度,不饱和度为5,多一个不饱和度减两个H。

本文标签: 化学分子式怎么写  

相关推荐

猜你喜欢

大家正在看